壓力表圖像自動識別系統研究
為了提高儀表人為讀數的速度和精確度,提出首先對儀表圖像進行二值化、濾波等基本處理;然后通過圖 像分割得到感興趣的表盤區域,經過坐標平移翻轉和極坐標變換的歸一化算法,將圓形表盤轉化成矩形指針表盤; 再利用圖像拼接算法得到無指針的表盤刻度矩形圖像,并且通過直線掃描出每個刻度線;接著通過模板匹配,將待 檢測圖像與無指針模板對比,從而檢測出圖像指針位置信息,得出指針讀數。實驗結果表明,采用這種圖像處理技 術使得識別速度更快,精確度也更高。
指針式儀表由于其特殊結構具有制造成本低、 精確度高、穩定性強,因而在諸多場合得以運用。目 前,對于這種儀表自動讀數的技術,有的研究人員提 出通過角度轉換求出指針位置,再用Hu不變矩陣 作為圖像特征來實現指針讀數自動識別,但是這 種算法比較復雜,識別速度不是很快;有的研究提出 利用快速霍夫變換,通過限制搜索范圍來降低霍夫 的搜索量,但是這種方法比較復雜,而且識別準確 率不是很高,文獻提出通過最大灰度的相減來識 別指針的位置,這種算法看似簡單,但是識別準確率 也不是很高,而且對光照強度非常敏感,其通用性不 是很高。本文檢測的對象是石油化工中常用的耐振 壓力表,先通過對采集到的壓力表圖像進行簡單預 處理,然后創新地運用極坐標變換算法將圓弧形指 針圖像矩形化,接著通過圖像拼接制作出無指針的 刻度模板,再通過模板匹配進行讀數自動識別。
1.儀表指針識別系統組成
本實驗由于對檢測的結果要求較高,在圖像系 統中加入碗狀光源,采用GIGE工業相機來獲得高 清晰圖像,采集到的圖像通過千兆網口實時傳給計 算機系統,經過各種算法處理,將最終檢測到的壓力 表的讀數顯示出來,通過校對機構鑒定系統的誤差 大小來適當調整識別系統。整個系統(圖1)主要分為以下3各部分。
被測壓力表和校對壓力表固定部分。通過前 期調整壓力表的方向和位置,使得其和相機處于合 適的位置,并將其固定,防止后續拍攝的圖像發生偏 移而導致檢測誤差。檢測后的結果通過校對壓力表 進行校對,然后進行算法的改進。
圖像采集系統部分。系統采用深圳彩視能科 技有限公司的GIGE工業相機,并加入了碗狀光源, 防止外界自然光的變化對檢測結果產生干擾。
計算機處理系統部分。工控機與相機通過千 兆以太網通信協議進行通信,圖像系統采集到的高 清晰圖像可以準確實時傳送給工控機,工控機通過 VS調用相機自帶的SDK軟件包來控制相機,然后 計算機通過各種圖像處理算法得到被測壓力表的讀 數,通過MFC界面顯示出來。
2.圖像處理與指針自動識別系統
指針識別系統主要由5個算法處理模塊組成, 其流程如圖2所示。由于人工安裝時的誤差,被測 壓力表和工業相機不可能處于絕對的平行位置,所 以在進行圖像預處理前需要通過適當的校正。經過 灰度化和濾波預處理,然后圖像分割得到表盤ROI 圖像。再通過簡單的直角坐標系運算坐標平移和翻 轉,將表盤指針回轉中心和直角坐標原點重合。此時,壓力表的圓形圖像再經過極坐標轉換算法可以 轉換成一個矩形圖像,再由兩副不同位置的指針圖 像經過圖像拼接算法得到指針刻度的模板,最后利 用直線掃描法,自上至下掃描出刻度線,即可將不同 位置指針矩形圖像與該模板進行匹配,進而得到指 針的讀數。

2.1前期處理
在將被測壓力表固定到檢測臺上的時候,由于 是人為操作,只能大致保證表盤與相機鏡頭處于平 行的位置,因此,采集到的表盤不會是垂直或者水平 的,必然一側會向鏡頭有所偏移,若表盤發生偏移, 通過圖像分割處理時就有可能會將表盤刻度去掉 了,而保留了一些無關的背景圖像。
因此,在對圖像進行預處理之前先要進行圖像 傾斜校正,可以通過拍攝一幅傾斜的圖像經過霍夫 圓檢測,根據檢測到的圓和實際表盤上圓盤位置的 區別將鏡頭調整到完全與表盤平行,這樣,在后面的 圖像分割時就能完整保留表盤刻度。霍夫圓檢測就 是將表盤上的圓形映射到另一個坐標空間里的一個 點形成一個峰值,由此將檢測圓形表盤轉換為統計 峰值。這種變換計算量較小,也可以迅速檢測到表 盤圓的偏移,從而進行相應的校正。
本研究使用的相機采集到的是24位彩色圖像, 而這里只需要得到指針對于表盤刻度的相對位置。 為了減少計算量,提高圖像處理速度,可以首先對圖 像灰度化,將相機采集到的24位圖像轉換成8位的 灰度圖。選用平均值法,計算出相鄰3個像素分量 的平均值,然后使每個分量值均等于這3個值的平 均值,即:R = G = B = (R + G + B')/3 由于本研究選擇的是儀表指針圖像,其細節不是特別多,經過預處理后只要能提取出完整的目標 圖像即可,因此采用最常用的中值濾波算法。本文 先選用3X3的模板,然后再選用5X5,發現3X3 的模板就能得到很好的濾波效果。即通過9個像素 點的像素值相加求平均值得到3X3模板的正中間 的像素值,并替換掉原來的像素值。其公式表示 如下:
Np(“i) = {pa ~ i>j —1) + ^(^ — i?y) + p (,j — 1) + p(a j) + p (^ > j + i) + p(a +1 > j) + p
(( + 1,j — 1) +p(i + 1 j') +p(i + 1,j +1)}/9
2.2圖像分割
表盤圖像分割是指針自動識別至關重要的預處 理,沒有正確的分割,指針識別讀數就會有較大的誤 差。圖像分割就是從背景圖像中分割出指針和刻度 線等重要儀表信息,以便后面的指針自動識別。圖 像分割方法有基于邊緣的分割方法和基于閾值的分 割方法。
由于感興趣的部分指針和刻度線均是直線,因 此,首先嘗試基于邊緣的分割方法——霍夫直線變 換算法。通過霍夫直線檢測能很容易檢測到指針和 刻度線,但是由于耐震壓力表的刻度線很密集,在采 用霍夫直線變換時計算量較大,導致處理速度過慢, 而且在此檢測裝置中,要求能實時拍照檢測,并自動 識別指針讀數,這種方法就不是很適合。由于采集 到的表盤圖像中指針和刻度線的灰度值很接近而且 都比較小,故采用基于閾值的分割方法。
在此指針識別系統中,由于壓力表的量程有很 多種,而且每種表盤的材質和顏色各有不同,再加上 環境光照的影響,如果采用固定閾值分割,針對每種 量程的壓力表可能就要專門設置一個閾值,沒有很 好的通用性。因此,采用一種自適應的閾值分割方 法——最大類間方差法,通過目標與背景的最大 方差求得自適應閾值。這種方法的步驟如下:

2.3表盤圖像歸一化
經過上面的圖像處理后得到了指針和刻度線的 表盤圖像,根據指針和刻度線的扇形分布,在實際中 使用圓掃描時會出現較大的誤差。首先,由于采用 200萬高清相機,采集到的圖像分辨率會大于指針 和刻度線的寬度,導致指針和每個刻度線與掃描圓 的交點不止一個,這就會產生識別誤差。其次,由于 被測的是石油工業的耐震壓力表,在表盤里面有一 些油液的填充物保證其測量精度,在圓掃描時,由于 油液遮擋了垂直向上方向的刻度線的一部分,可能 導致某些刻度線掃描不出來。然而圖像歸一化算法 就很容易解決圓掃描所引起的識別誤差,因此,圖像 歸一化算法是指針識別系統中至關重要的一 部分。
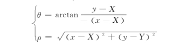
圖像采集系統傳遞給計算機系統的圖像一般都 是矩陣形式的,假設此矩陣在直角坐標系中表示為 J(:r,;y),圓形表盤指針的旋轉中心坐標為(X,Y)。 首先通過坐標平移,將表盤圖像IU,y)平移至使 旋轉中心坐標和直角坐標系原點重合;然后是坐標 翻轉,假設經過平移后得到的圖像表示為Hy), 其翻轉后的圖像為廣(,:y );最后經過極坐標轉換,最終圖像表示為rpe、。
通過表盤圖像歸一化處理后,圓形的指針和刻 度線圖像轉變成了矩形圖像。為了能夠得到刻度線 模板,利用圖像拼接算法,即在不變的環境條件下, 采集處于零刻度時的表盤圖像,立刻通過施壓裝置 給壓力表施加一定的壓力,此時,指針偏轉一定的角 度,采集此時表盤圖像,然后利用圖像拼接算法,拼 接零刻度圖像的后半部分和指針偏轉圖像的前半部 分,即可得到無指針只有刻度線的模板。
由于此時的刻度線模板是矩形的,所有的刻度 線均是垂直分布的,利用直線掃描算法從上至下掃 描所有的刻度線即可得到刻度線的位置信息。對于 任意指針位置的圖像,便可以與無指針的刻度線模 板進行匹配,得到指針的位置信息,通過與刻度線位 置進行對比分析,即可進行讀數自動識別。圖3是 兩張檢測結果圖像。

3.實驗結果
本文提出的指針讀數自動識別算法,是在 vs2010 + opencv2.4環境下以石油工業中所用的耐震壓力表為例,測試了指針讀數自動識別系統的效 果。整個系統響應速度快,識別誤差率低,能滿足工 業中實時檢測識別的要求。整個實驗結果見表1。
4.結論
在指針式儀表自動識別的研究中,本文從機器 視覺的研究出發,利用圖像分割算法、圖像歸一化算 法、圖像拼接算法和模板匹配算法等,實現指針式儀 表讀數的自動識別。與校對表的測試比對表明,該 方案識別速度快,而且準確率高。這種指針式儀表 自動識別系統在石油化工生產、電力運行等不允許 使用數顯表的領域中有廣泛的應用。
上一篇:電接點壓力表的調修


